Predictive repairs in Automotive

Our delivered projects in Autimotive include condition monitoring of moving truck with sensors installed on engine, transmission, brakes, tires, etc., that measure such quantities as temperature, pressure, speed, torque, acceleration, GPS location and predict when some parts may start failing. The delivered models / techniques included

Figure 1

Dashboard showing detected anomalies in truck exhaust system by days.
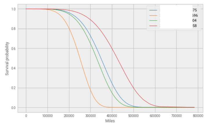
Figure 2
Survival probability vs miles.